Version: 5.0.1
2 Chebyshev Integral and Friends
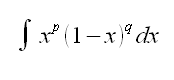
This module provides functions related to the evaluation of Chebyshev integrals
plus a few generally helpful functions.
| (chebyshev-integral p q) → procedure? | ||||||||
| p : int? | ||||||||
|
evaluates the Chebyshev integral using integration by parts to produce a function of x.
Because of the technique used, p and q are limited to integers, and q must be non-negative.
| (eval-over-range a b f) → number? |
| a : number? |
| b : number? |
| f : procedure? |
returns f(b) - f(a), as when evaluating a definite integral. Since the
chebyshev-integral assumes the integral constant is zero, a typical use of these
two functions might be something like
| (let [(f (chebyshev-integral 1 2))] |
| (eval-over-range 0 1 f)) |
returns xy.
